Основные законы электростатики:
Закон сохранения заряда – в замкнутой системе алгебраическая сумма зарядов остаётся неизменной.
Закон кулона - сила взаимодействия 2-х точечно заряженных тел прямо пропорциональна произведению модулей зарядов и обратно пропорциональна квадрату расстояния между ними.
Принцип суперпозиции – если в некоторой точке пространства различный заряды создают электрические поля, то р. напряжённость в этой точке будет равна векторной сумме напряженностей каждого поля.
Теорема Гаусса – поток напряженности через замкнутую поверхность пропорционален эл. заряду внутри этой поверхности.
Напряженность – силовая характеристика поля. Отношение силы кулона к заряду.
Потенциал – энергетическая характеристика поля. Отношение потенциальной энергии к заряду.
Эквипотенциальными называются поверхности равного потенциала.
Электроемкость – это отношение заряда пров. к его напряжению.
Проводники – это вещества, в которых есть свободные электроны.
Диэлектрики – это вещ-ва в которых нет свободных электронов. Бывают полярные и неполярные.
Эл. поле - это особая форма материи существующая независимо от нас и от наших знаний о ней.
Электризация тела – это механический процесс в результате, которого у тела образуется недостаток или избыток электронов.
Формулы:
- Fk = κ(q1q2/ℇ R2) – Закон кулона
- E = F/ℇ q - Напряженность
- E = κ(q/ℇ R2) – Напряженность точечного заряда
- φ = U/q – Потенциал
- φ = κ(q/R) – Потенциал точечного заряда
- С = q/U – Электроемкость
- С = ℇ0ℇ S/d - Электроемкость плоского конденсатора
- Wk = CU2/2 = q2/2C = qU/2 – энергия конденсатора
- С=С1+С2+С3 - Электроемкость при параллельном соедин. конденсаторов
- 1/С = 1/С1 + 1/С2 +1/С3 - Электроемкость при последоват. соедин. конденсаторов
- q1 + q2 + … = const – Закон сохранения заряда
- A = qEd – Работа эл. поля
- E = U/d – Связь между напряжением и напряжением
Задачи:
Чтобы разобраться в решении таких задач, разделим их на группы:
Задачи на электростатическую индукцию
Данные задачи имеют качественный характер. Для их решения необходимо помнить, что в телах имеются электрически заряженные частицы, в проводниках – подвижные (в металлах – электроны), в диэлектриках - связанные, взаимодействующие между собой.При поднесении к телу заряда, подвижные заряды противоположного знака скапливаются на поверхности тела вблизи поднесенного заряда, заряды того же знака удаляются как можно дальше, при возможности стекают на землю.При поднесении заряда к диэлектрику, связанные в нём заряды ориентируются аналогичным образом.
Задача об электрометрах (базовый уровень)
Задача об электроскопе и заряженной палочке (базовый уровень)

Задача о теле в электростатическом поле (базовый уровень)
Задачи на напряженность и потенциал электростатического поля
Решая такие задачи, нужно помнить, что
- Вектор напряженности – это силовая характеристика поля. Вектор направлен так же, как сила Кулона, действующая на пробный (малый) положительный заряд, помещенный в данную точку. Величина вектора напряженности численно равна силе Кулона, действующей на единичный положительный заряд.
- Потенциал – это энергетическая характеристика поля. Электростатическое поле потенциально, т.е. энергия заряда в нем определяется только его положением и равна
- Работа по перемещению заряда
- Принцип суперпозиции
Задача о направлении вектора напряженности (базовый уровень)
Решение.
Вектор напряженности направлен так же, как сила Кулона, действующая на пробный (малый) положительный заряд, помещенный в данную точку. Изображаем векторы напряженности поля, созданного каждым зарядом в точке А. Отрицательный заряд ближе, создает поле бОльшей напряженности. Затем, в соответствии с принципом суперпозиции, складываем вектора. Суммарный вектор направлен вдоль 2 (изображен фиолетовой стрелкой).
Рассмотренный способ является универсальным. Например, в точке В вектора напряженности полей направлены вдоль прямых, соединяющих точку с каждым из зарядов, но непараллельно друг другу.
Задача о величине вектора напряженности (базовый уровень)
Здесь Е1 -вектор напряженности поля, созданный зарядом +2q, Е2-вектор напряженности поля, созданный зарядом -q
Обратная задача о направлении вектора напряженности (повышенный уровень)
 Решение. Построим вектора напряженности, создаваемые отдельными зарядами, так, что изображенный вектор являлся их суммой. Можно видеть, что при одинаковом расстоянии до точки С, правый заряд создает вектор напряженности вдвое больший по величине. Направление вектора указывает на положительный знак этого заряда. Следовательно, q B=+2мкКл.
Ответ 2
Задача о потенциале металлического проводника (базовый уровень)
Решение. Металлическое тело является эквипотенциальной поверхностью. Внутри полого тела напряженность равна нулю, потенциал одинаков и равен поверхностному вне зависимости от того, заряжено ли тело, есть ли внешнее поле.
Ответ 1
Задача о работе по перемещению заряда (базовый уровень)
* * *
Задачи на электростатические силы
Задача о силе Кулона в системе зарядов (базовый уровень)
 Решение. Сила Кулона действует вдоль прямой, соединяющей заряды, приложена к данному заряду +2q. Показываем направление силы от каждого из 4-х окружающих зарядов и находим векторную сумму – равнодействующую силу F.
Задача о перемещении частицы в электрическом поле (базовый уровень)
Задача об отклонении частицы в плоском конденсаторе (базовый уровень)
Решение: На частицу в поле конденсатора действует сила Кулона, направленная вверх. Сила тяжести по сравнению с ней пренебрежимо мала. В горизонтальном направлении силы не действуют. Поэтому электрон участвует в двух независимых друг от друга движениях: в равномерном движении по горизонтали и равноускоренном движении по вертикали.
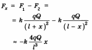
Задача о колебаниях заряженной бусинки (высокий уровень)
Решение. Рассмотрим случайное отклонение бусины на малое расстояние х вправо. При ее смещении появляется равнодействующая электрических сил, направленная влево. Если бы бусина отклонилась влево, то возникшая равнодействующая была бы направлено вправо. Таким образом, при смещении бусины, возникает возвращающая сила, которая и вызывает колебания.
Эта равнодействующая сила по величине равна
В выражении выше нужно честно сложить две дроби, раскрыть скобки в числителе. Затем нужно упростить дробь, учтя, что х<<l.
Сила пропорциональна смещению, как при колебании пружины. Поэтому, по аналогии можно записать:
|